Dasar Bersih Cekap Dan Amanah

Dasar Bersih Cekap Dan Amanah

Dasar Bersih Cekap Dan Amanah

Dasar Bersih Cekap Dan Amanah

Dasar Bersih Cekap Dan Amanah

Dasar Bersih Cekap Amanah

Dasar Bersih Cekap Amanah

Dasar Bersih Cekap Amanah

Dasar Bersih Cekap Amanah

Dasar Bersih Cekap Dan Amanah

Dasar Bersih Cekap Dan Amanah

Dasar Bersih Cekap Dan Amanah

Dasar Bersih Cekap Dan Amanah

Dasar Bersih Cekap Dan Amanah

Kalau dulu semasa saya jadi perdana menteri tidak ada masalah kerana saya boleh percaya kepada semua orang.

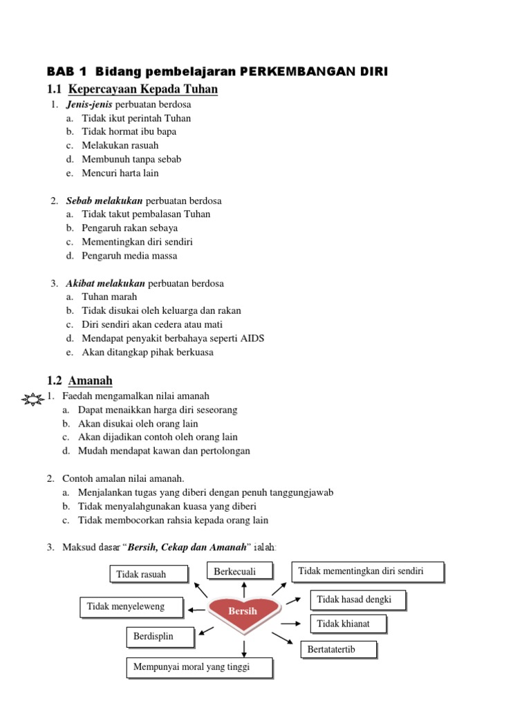
Dasar bersih cekap dan amanah. Dr mahathir menegaskan slogan bersih cekap dan amanah diperkenalkan bukan untuk dipamerkan tetapi diamalkan. Dasar bersih cekap amanah latarbelakang pada pertengahan april 1982 y a b. Dasar bersih cekap dan amanah das ar nilai dan etika dalam perkhidmatan awam dasar penerapan nilai nilai islam dalam perkhidmatan awam dan dasar tonggak dua belas. Dasar dasar malaysia bersih cekap amanah latarbelakang pada pertengahan april 1982 y a b.

Dasar bersih cekap dan amanah 1. Mahathir mohamad telah melancarkan kempen bersih cekap dan amanah sebagai satu dasar yang menjadi amalan kepada semua di negara ini. Dasar bersih cekap dan amanah objektif mewujudkan satu etika kerja dan sikap berkhidmat yang baru peningkatan kepada hasil dan mutu kerja meningkatkan semangat motivasi pekerja seiring dengan penerapan nilai nilai islam dan kepimpinan melalui tauladan 2. Dasar pandang ke timur 1982 konsep kepimpinan melalui teladan 1983 dasar penerapan nilai nilai islam dalam pentadbiran 1985 united nations againts corruption 2005 strategi pelaksanaan bca isu isu objektif latar belakang melancarkan sistem pengurusan pentadbiran awam.

Dasar dasar ini juga telah dipraktikkan dalam pelbagai program di. Mahathir mohamed telah melancarkan kempen bersih cekap dan amanah sebagai satu dasar yang menjadi amalan kepada semua di negara ini. Mahathir mohamad telah melancarkan kempen bersih cekap dan amanah sebagai satu dasar yang menjadi amalan kepada semua di negara ini. Perkhidmatan awam dan konsep perkhidmatan cemerlang.

Dasar bersih cekap amanah latarbelakang pada pertengahan april 1982 y a b. Dasar bersih cekap amanah bca objektif memberi nafas baru kepada sektor perkhidmatan awam terutama dalam aspek etika dan sikap kerja dalam usaha meningkatkan daya pengeluaran dan mutu kerja. Bersih cekap dan amanah latarbelakang pada pertengahan april 1982 y a b.

Dasar Bersih Cekap Dan Amanah

Dasar Bersih Cekap Dan Amanah

Dasar Bersih Cekap Dan Amanah

Dasar Bersih Cekap Dan Amanah

Dasar Bersih Cekap Amanah

Dasar Bersih Cekap Amanah

Dasar Bersih Cekap Dan Amanah

Dasar Bersih Cekap Dan Amanah

Dasar Bersih Cekap Amanah

Dasar Bersih Cekap Amanah

Bersih Cekap Amanah

Bersih Cekap Amanah

Jejak Asnaf Bersih 4 0

Jejak Asnaf Bersih 4 0

Dasar Bersih Cekap Dan Amanah1

Dasar Bersih Cekap Dan Amanah1

Bersih Cekap Dan Amanah Lancarkan Pentadbiran Dr Mahathir Utusan Borneo Online

Bersih Cekap Dan Amanah Lancarkan Pentadbiran Dr Mahathir Utusan Borneo Online

Dasar Bersih Cekap Dan Amanah

Dasar Bersih Cekap Dan Amanah

Bersih Cekap Amanah

Bersih Cekap Amanah

Bersih Cekap Dan Amanah Lancarkan Pentadbiran Radio Ikim

Bersih Cekap Dan Amanah Lancarkan Pentadbiran Radio Ikim

Moral Notes

Moral Notes

Dasar Dasar Kerajaan 6 4 Ppt Download

Dasar Dasar Kerajaan 6 4 Ppt Download